你提供的照片可能用于改善必应图片处理服务。
隐私政策
|
使用条款
无法使用此链接。检查链接是否以 "http://" 或 "https://" 开头,然后重试。
无法处理此搜索。请尝试其他图像或关键字。
试用视觉搜索
使用图像搜索、识别对象和文本、翻译或解决问题
将一个或多个图像拖到此处,
上传图像
或
打开相机
将图像放到此处以开始搜索
要使用可视化搜索,请在浏览器中启用相机
English
全部
搜索
图片
灵感
创建
集合
视频
地图
资讯
更多
购物
航班
旅游
笔记本
自动播放所有 GIF
在这里更改自动播放及其他图像设置
自动播放所有 GIF
拨动开关以打开
自动播放 GIF
图片尺寸
全部
小
中
大
特大
至少... *
自定义宽度
x
自定义高度
像素
请为宽度和高度输入一个数字
颜色
全部
仅限颜色
黑白
类型
全部
照片
剪贴画
素描
动画 GIF
透明
版式
全部
方形
横版
高
人物
全部
仅脸部
半身像
日期
全部
过去 24 小时
过去一周
过去一个月
去年
授权
全部
所有创作共用
公共领域
免费分享和使用
在商业上免费分享和使用
免费修改、分享和使用
在商业上免费修改、分享和使用
详细了解
清除筛选条件
安全搜索:
中等
严格
中等(默认)
关闭
筛选器
768×1024
scribd.com
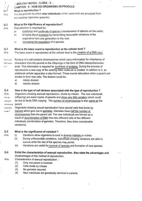
How Do Organisms Reproduce Class 10 Notes …
768×1024
scribd.com
Science Class 10 HOW DO ORGANISMS REPRODUC…
1653×2339
vidyakul.com
Class 10th Science How do Organisms Reproduce NCE…
1199×1700
stuvia.com
Class 10 chapter 8 how do organisms reproduce notes …
1620×2291
studypool.com
SOLUTION: How do organisms reproduce class …
1200×630
noteschahiye.com
NCERT Solutions for Class 10 How do Organisms Reprodu…
1240×1754
studypool.com
SOLUTION: How do organisms reproduce class …
768×1024
scribd.com
How Do Organisms Reproduce Class 10 Notes …
768×1024
scribd.com
Class 10th Notes How Do Organism Reproduce | PDF
1653×2339
vidyakul.com
Class 10th Science How do Organisms Reproduce NCE…
768×1024
scribd.com
How Do Organisms Reproduce Class 10 Notes …
1414×1999
masternotes.in
How do organisms reproduce class 10 notes - Master not…
1620×2292
studypool.com
SOLUTION: Cbse class 10 science notes chapter 8 ho…
768×1024
Scribd
CBSE Class 10 Biology How Do Organisms Reproduce N…
768×1024
scribd.com
How Do Organisms Reproduce - Notes-Class 1…
1200×628
vidyakul.com
Class 10th Science How do Organisms Reproduce NCE…
1653×2339
vidyakul.com
Class 10th Science How do Organisms Reproduce NCE…
1758×2560
boardstudy.in
Class 10 Science Chapter 8 How do Organisms Reprodu…
1620×2096
studypool.com
SOLUTION: How do organisms reproduce class …
1620×2292
studypool.com
SOLUTION: Biology notes class 10th chapter 3 how d…
1620×2292
studypool.com
SOLUTION: Class 10 how do organisms reproduce notes …
768×1024
scribd.com
How Do Organisms Reproduce Class 10 Notes …
1653×2339
vidyakul.com
Class 10th Science How do Organisms Reproduce NCE…
1653×2339
vidyakul.com
Class 10th Science How do Organisms Reproduce NCE…
1620×2096
studypool.com
SOLUTION: Class 10 science chapter 8 how do organism…
1620×2291
studypool.com
SOLUTION: How do organisms reproduce class …
703×1025
physicsgurukul.com
Class 10 Science Chapter 8 How do Organisms Reprodu…
1620×2292
studypool.com
SOLUTION: Class 10 how do organisms reproduce notes …
768×1024
scribd.com
CBSE Class 10 Term 2 How Do Organisms Reproduce S…
1653×2339
vidyakul.com
Class 10th Science How do Organisms Reproduce NCE…
900×1308
allimportantnotes.com
How do Organisms Reproduce Class 10 Notes (PDF) – जी…
1620×2096
studypool.com
SOLUTION: How do organisms reproduce class …
1620×2292
studypool.com
SOLUTION: Biology notes class 10th chapter 3 how d…
2449×3605
studypool.com
SOLUTION: HOW DO ORGANISMS REPRODUC…
1620×2292
studypool.com
SOLUTION: Class 10 how do organisms reproduce notes …
某些结果已被隐藏,因为你可能无法访问这些结果。
显示无法访问的结果
报告不当内容
请选择下列任一选项。
无关
低俗内容
成人
儿童性侵犯
反馈