你提供的照片可能用于改善必应图片处理服务。
隐私政策
|
使用条款
无法使用此链接。检查链接是否以 "http://" 或 "https://" 开头,然后重试。
无法处理此搜索。请尝试其他图像或关键字。
试用视觉搜索
使用图像搜索、识别对象和文本、翻译或解决问题
将一个或多个图像拖到此处,
上传图像
或
打开相机
将图像放到此处以开始搜索
要使用可视化搜索,请在浏览器中启用相机
English
全部
搜索
图片
灵感
创建
集合
视频
地图
资讯
更多
购物
航班
旅游
笔记本
自动播放所有 GIF
在这里更改自动播放及其他图像设置
自动播放所有 GIF
拨动开关以打开
自动播放 GIF
图片尺寸
全部
小
中
大
特大
至少... *
自定义宽度
x
自定义高度
像素
请为宽度和高度输入一个数字
颜色
全部
仅限颜色
黑白
类型
全部
照片
剪贴画
素描
动画 GIF
透明
版式
全部
方形
横版
高
人物
全部
仅脸部
半身像
日期
全部
过去 24 小时
过去一周
过去一个月
去年
授权
全部
所有创作共用
公共领域
免费分享和使用
在商业上免费分享和使用
免费修改、分享和使用
在商业上免费修改、分享和使用
详细了解
清除筛选条件
安全搜索:
中等
严格
中等(默认)
关闭
筛选器
768×1024
scribd.com
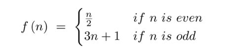
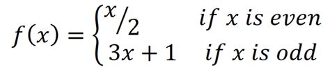
A Solution of The Collatz Conject…
474×358
feetulcer.com
Even the Smartest Mathematicians Can't Solve the …
1200×264
ushhc.com
什么是Collatz猜想?未解决的数学问题-猫头鹰定位 - 188jdc金宝搏
850×1100
researchgate.net
(PDF) Collatz Conjecture Conj…
750×777
alchetron.com
Collatz conjecture - Alchetron, The Free S…
1800×1200
lib.ncsu.edu
Collatz Conjecture | NC State University Libraries
743×521
ebaker.me.uk
Visualisation of Collatz Conjecture in R | Ed Baker
680×146
cosmoscombine.blogspot.com
THE COLLATZ CONJECTURE
422×720
mehmetbeyaz.com
The Mysterious Collatz Conjec…
1200×500
askpython.com
The 3x+1 Collatz Conjecture Math Problem Explained - AskPython
852×940
chegg.com
Solved Problem A. (10 points) …
850×1202
researchgate.net
(PDF) Understandin…
1090×1632
informationisbeautifulawards.com
The Collatz Conjecture — …
768×1024
Scribd
Collatz Conjecture Un…
1920×1200
testbook.com
Collatz Conjecture: Importance and History of Collatz Conjecture
1920×1200
testbook.com
Collatz Conjecture: Importance and History of Collatz Conjecture
1920×1200
testbook.com
Collatz Conjecture: Importance and History of Collatz Conjecture
1200×675
transcontinentaltimes.com
The Mysterious Collatz Conjecture: A Mathematical Puzzle That Remains Unsol…
959×704
github.com
GitHub - MarceloPaciulli/Collatz_Conjec…
1600×1198
encyclopediamathematics.blogspot.com
COLLATZ CONJECTURE
1200×900
ithy.com
Ithy - Understanding and Current Status of the Collatz Conjecture
1500×1000
inspiration.sjf.ch
Collatz Conjecture - the Simplest Impossible Problem - Inspiration - Sch…
480×360
sciencereader.com
Collatz Conjecture: Simplicity Meets Mathematical Mystery
1200×675
science.howstuffworks.com
Even the Smartest Mathematicians Can't Solve the Collatz Conjecture | HowStuffWorks
2400×1260
gamma.app
Exploring the Intriguing Collatz Conjecture
2690×858
chegg.com
Solved Background: The Collatz conjecture is an unsolved | Chegg.com
945×945
teachoo.com
An Unsolved Mystery — The Collatz Conjecture E…
1381×916
chegg.com
Solved The Collatz conjecture is a conjecture in mathematics | Chegg.com
1024×647
chegg.com
Solved Problem \#4.1 The Collatz Conjecture | Chegg.com
1358×970
cantorsparadise.com
The Collatz Conjecture. The Collatz Conjecture is a conjecture… | by Shak…
1922×1096
wiris.com
What is the Collatz Conjecture? - Wiris
311×452
r-bloggers.com
Learning R: The Collatz Conjectu…
850×1100
researchgate.net
(PDF) A generalization of th…
5:29
study.com
Collatz Conjecture | History, Sequence & Proof
850×1202
researchgate.net
(PDF) A Solution Of The Collatz C…
某些结果已被隐藏,因为你可能无法访问这些结果。
显示无法访问的结果
报告不当内容
请选择下列任一选项。
无关
低俗内容
成人
儿童性侵犯
反馈