你提供的照片可能用于改善必应图片处理服务。
隐私政策
|
使用条款
无法使用此链接。检查链接是否以 "http://" 或 "https://" 开头,然后重试。
无法处理此搜索。请尝试其他图像或关键字。
试用视觉搜索
使用图像搜索、识别对象和文本、翻译或解决问题
将一个或多个图像拖到此处,
上传图像
或
打开相机
将图像放到此处以开始搜索
要使用可视化搜索,请在浏览器中启用相机
English
全部
搜索
图片
灵感
创建
集合
视频
地图
资讯
更多
购物
航班
旅游
笔记本
Collatz Conjecture Python 的热门建议
Collatz Conjecture
Tree
Collatz Conjecture
Calculator
Collatz Conjecture
Graph
Collatz
Problem
Collatz
Sequence
Collatz Conjecture
Equation
Collatz
Formula
Collatz Conjecture
Solution
Collatz Conjecture
Patterns
Collatz Conjecture
Recursion Python
Collatz
Map
Collatz
Function
Collatz Conjecture
Visualization
Collatz Conjecture Python
Code
Collatz Conjecture
Flowchart
What Is the
Collatz Conjecture
Collatz
Numbers
Collatz Conjecture
PNG
Collatz
List
Acceleration and the
Collatz Conjecture
Collatz Conjecture
Loop
Uses of the
Collatz Conjecture
Hailstone
Sequence
Length Collatz
Sequence
Collatz Conjecture
2 68
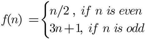
3N 1
Problem
Collatz
Number of Steps
Collatz Conjecture
Prime Numbers
Pictures Colltaz
Conjecture
Collatz Conjecture
27
Conjetura De
Collatz
Collatz Conjecture
Wiki
Collatz Conjecture
Memes
Python
3.X
Collatz Conjecture
Graphic
Directed Graph
Collatz Conjecture
Collatz Conjecture
Excel
Collatz Conjecture
Stopping Time
Collatz Conjecture
of 3
Collatz Conjecture
Meaning
Collatz Conjunction Python
Codes
Collatz Conjecture
Negative Numbers
Collatz Conjecture
Visualizer
Collatz Conjecture
Cycle
Collatz Conjecture
All Loops
Collatz Conjecture
Wide
Collatz Conjecture
GRPH
Collatz Conjecture
Symbol
Collatz Conjecture
Tree Visualization Download
Collatz Conjecture
for 270
自动播放所有 GIF
在这里更改自动播放及其他图像设置
自动播放所有 GIF
拨动开关以打开
自动播放 GIF
图片尺寸
全部
小
中
大
特大
至少... *
自定义宽度
x
自定义高度
像素
请为宽度和高度输入一个数字
颜色
全部
仅限颜色
黑白
类型
全部
照片
剪贴画
素描
动画 GIF
透明
版式
全部
方形
横版
高
人物
全部
仅脸部
半身像
日期
全部
过去 24 小时
过去一周
过去一个月
去年
授权
全部
所有创作共用
公共领域
免费分享和使用
在商业上免费分享和使用
免费修改、分享和使用
在商业上免费修改、分享和使用
详细了解
清除筛选条件
安全搜索:
中等
严格
中等(默认)
关闭
筛选器
Collatz Conjecture
Tree
Collatz Conjecture
Calculator
Collatz Conjecture
Graph
Collatz
Problem
Collatz
Sequence
Collatz Conjecture
Equation
Collatz
Formula
Collatz Conjecture
Solution
Collatz Conjecture
Patterns
Collatz Conjecture
Recursion Python
Collatz
Map
Collatz
Function
Collatz Conjecture
Visualization
Collatz Conjecture Python
Code
Collatz Conjecture
Flowchart
What Is the
Collatz Conjecture
Collatz
Numbers
Collatz Conjecture
PNG
Collatz
List
Acceleration and the
Collatz Conjecture
Collatz Conjecture
Loop
Uses of the
Collatz Conjecture
Hailstone
Sequence
Length Collatz
Sequence
Collatz Conjecture
2 68
3N 1
Problem
Collatz
Number of Steps
Collatz Conjecture
Prime Numbers
Pictures Colltaz
Conjecture
Collatz Conjecture
27
Conjetura De
Collatz
Collatz Conjecture
Wiki
Collatz Conjecture
Memes
Python
3.X
Collatz Conjecture
Graphic
Directed Graph
Collatz Conjecture
Collatz Conjecture
Excel
Collatz Conjecture
Stopping Time
Collatz Conjecture
of 3
Collatz Conjecture
Meaning
Collatz Conjunction Python
Codes
Collatz Conjecture
Negative Numbers
Collatz Conjecture
Visualizer
Collatz Conjecture
Cycle
Collatz Conjecture
All Loops
Collatz Conjecture
Wide
Collatz Conjecture
GRPH
Collatz Conjecture
Symbol
Collatz Conjecture
Tree Visualization Download
Collatz Conjecture
for 270
694×603
github.com
GitHub - Donny-GUI/python-collatz-conj…
750×300
github.com
GitHub - Donny-GUI/python-collatz-conjecture: Collectz Conjecture Grapher and Classes fo…
1600×998
exercism.org
zuxupi's solution for Collatz Conjecture in Python on Exercism
1200×600
github.com
GitHub - BritoER/collatz-conjecture: teste em python para a conjectura de collatz:
GIF
600×478
github.com
GitHub - igormomc/Collatz-Conjecture: A small python progr…
878×500
compucademy.net
The Collatz Conjecture with Python – Compucademy
812×612
glowingpython.blogspot.com
The Glowing Python: The Collatz conjecture
1280×1016
github.com
GitHub - igormomc/Collatz-Conjecture: A small python progr…
1299×709
github.com
GitHub - ryurina/collatz_conjecture_py: Plotting of Collatz Conjecture in Python
701×540
github.com
GitHub - Cozmeh/Collatz-Conjecture: A Python work for Collatz Conjecture Testi…
640×480
github.com
GitHub - Cozmeh/Collatz-Conjecture: A Python work for …
640×480
github.com
GitHub - Cozmeh/Collatz-Conjecture: A Python work for …
640×480
github.com
GitHub - Cozmeh/Collatz-Conjecture: A Python work for …
640×480
github.com
GitHub - Cozmeh/Collatz-Conjecture: A Python work for …
1280×617
github.com
GitHub - Fingolfin7/Collatz-conjecture: Python script to visualize collatz conjecture stopping ...
640×398
fi.pinterest.com
Collatz Conjecture In Python and ICE... | Ice, Python, Tutorial
602×640
blogspot.com
Sue`s Blog Spot: Collatz Conjecture In Python …
640×446
blogspot.com
Sue`s Blog Spot: Collatz Conjecture In Python and ICE...
640×480
ytechnology.com
The Collatz Conjecture Python Plot
1023×226
bimregime.wordpress.com
Visualizing Collatz conjecture with Python | BIM Regime
755×212
bimregime.wordpress.com
Visualizing Collatz conjecture with Python | BIM Regime
5000×1250
stackabuse.com
Data Visualization in Python: The Collatz Conjecture
640×678
www.reddit.com
Programmed the Collatz Conjecture i…
743×521
ebaker.me.uk
Visualisation of Collatz Conjecture in R | Ed Baker
1792×1357
codereview.stackexchange.com
beginner - Plotting Collatz conjecture values - Python - Co…
474×381
codereview.stackexchange.com
beginner - Plotting Collatz conjecture values - Python - …
1570×904
chegg.com
Solved Collatz Conjecture IN PYTHON!!! THE CODE BELOW IS IN | Chegg.com
1280×720
python-programs.com
Program to Print Collatz Conjecture for a Given Number in C++ and Python - Python …
1090×1632
informationisbeautifulawards.com
The Collatz Conjecture — …
1200×675
transcontinentaltimes.com
The Mysterious Collatz Conjecture: A Mathematical Puzzle That Remains Unsolv…
1187×598
stackoverflow.com
algorithm - Collatz conjecture sequence length using a python generator - Stack Overflow
1920×1033
codereview.stackexchange.com
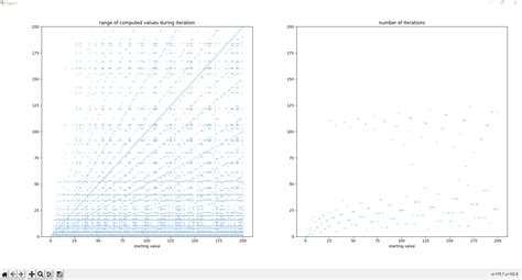
python - Collatz conjecture with plots - Code Review Stack Exchange
695×481
codereview.stackexchange.com
python - Collatz conjecture with plots - Code Review Stack Exchange
896×562
Stack Overflow
Python Collatz Infinite Loop - Stack Overflow
959×704
github.com
GitHub - MarceloPaciulli/Collatz_Conjecture_functions: T…
某些结果已被隐藏,因为你可能无法访问这些结果。
显示无法访问的结果
报告不当内容
请选择下列任一选项。
无关
低俗内容
成人
儿童性侵犯
反馈